作曲网原创音乐论坛社区

 找回密码
 快速注册

QQ登录

只需一步,快速开始

查看: 962|回复: 6

美的你 石作良词 一起美啊!小样 12、30

[复制链接]
石头_xcVNH 发表于 2017-12-18 11:16:44 | 显示全部楼层 |阅读模式
本帖最后由 石头_xcVNH 于 2017-12-20 06:51 编辑

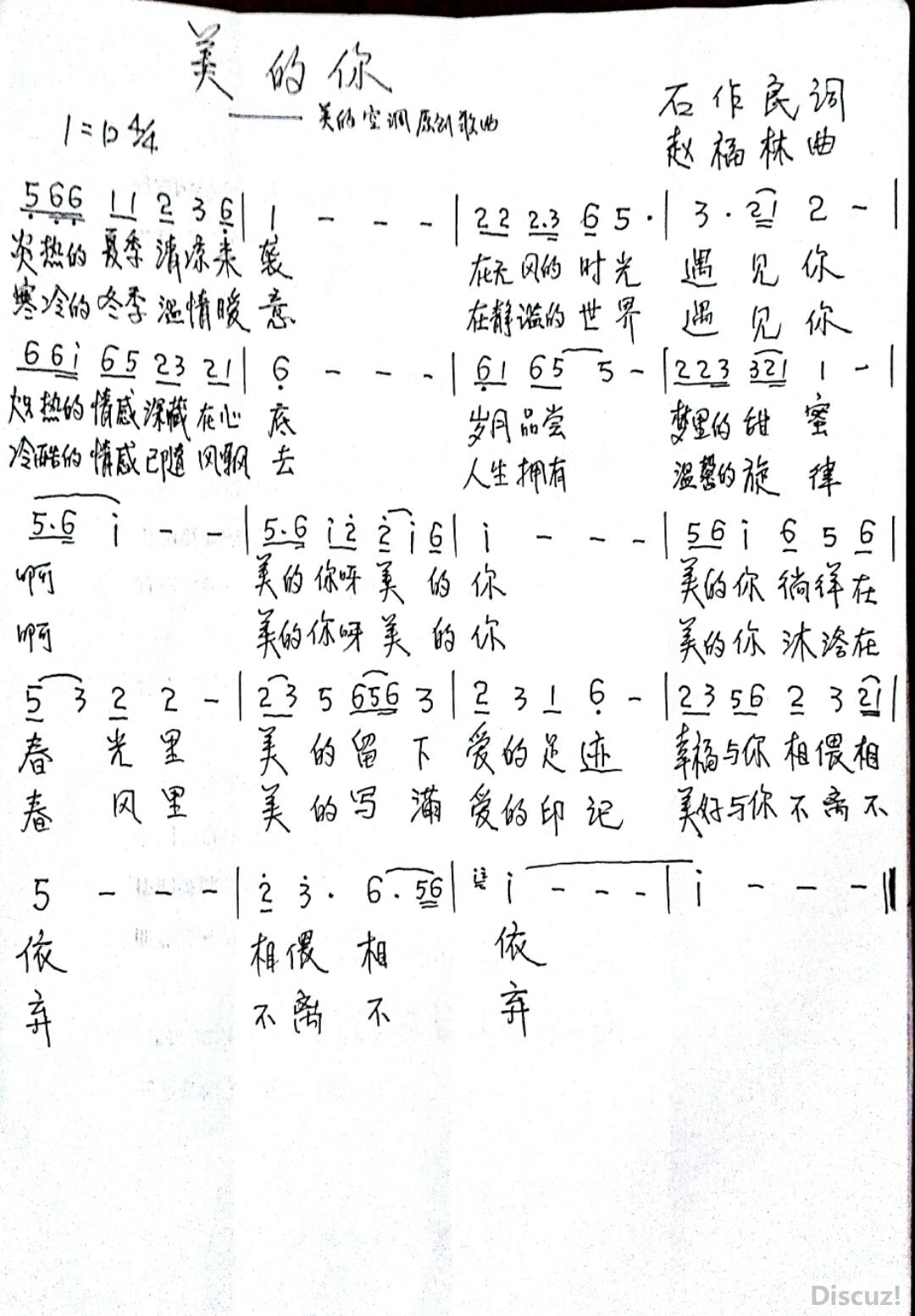
美的你
——美的空调原创歌曲大赛作品
石作良

炎热的夏季 清凉来袭,
在无风的时光遇见你,
炙热的情感深藏在心底,
岁月品尝梦里的甜蜜。

寒冷的冬季 温情暖意,
在静谧的世界遇见你,
冷酷的情感已随风飘去,
人生拥有温馨的旋律。

啊,美的你呀,美的你,
美的你徜徉春光里,
美的留下爱的印记,
幸福与你相偎相依。

啊,美的你呀,美的你,
美的你沐浴春风里,
美的写满爱的印记,
美好与你不离不弃。



石作良  邮编:101200  北京市平谷区档案局 地址:北京平谷文乐胡同6号
电话:13910772909   邮箱:shizuoliang@163.com


 楼主| 石头_xcVNH 发表于 2017-12-18 11:18:19 | 显示全部楼层
本帖最后由 石头_xcVNH 于 2017-12-20 06:51 编辑

12.30.美的空调《在无风的时光遇到你》原创歌曲征集

    无风感,有情感,在温暖的冬天,让美好不被吹散。现在,参与美的空调 # 在无风的时光遇见你 # 主题原创歌曲征集大赛,不论何种音乐风格,只期待原创音乐达人快快加入,让我们相约在无风的时光。以 # 在无风的时光遇见你 # 为题在5sing上传你的原创好歌,通过网友投票+专家评选最终优胜者,金志文将亲自改编其歌曲并演唱,并有 10 万元现金大奖!以及酷狗音乐、5singAPP星级推广资源,还等什么呢?快加入吧!
一、参赛规则
1.录制参赛歌曲 → 登录5sing个人主页 → 点击上传歌曲 → 填好歌曲相关信息。
2.点击报名按钮 → 选择需要报名歌曲 → 点击确认按钮 → 参赛成功。
3.不限制任何音乐风格,每人限制参赛作品3首。
4.为避免比赛中产生不必要的质疑和纠纷。请所有参赛选手保留比赛歌曲的干声。保持干声原始状态,不要修音或其他。
5.原创歌曲参赛作品要求为【演唱曲】,参赛作品命名格式:【在无风的时光遇见你】+歌曲名。
二、奖项设置
无风时光奖(1名)
1.100,000元现金(税前)
2.星级曝光资源:酷狗音乐+5sing APP+金志文亲自歌曲改编并录制
最特色原创奖(10名)
1.10,000元现金(税前)
2.星级曝光资源:酷狗音乐+5sing APP
三、投稿说明
如发现盗取、侵权等不实行为,或侵犯他人权益而产生纠纷,则由报名者全权负责,与主办方无关。为避免产生不必要的质疑和纠纷。请所有参加征集的小伙伴们保留歌曲干声。保持干声原始状态,不要修音或其他。歌曲和填词内容积极端正,不涉及敏感内容。
四、评奖机制
由评委打分、累计投票共同评出比赛的获奖作品(评委打分占总分数70%,累计投票数占总分数30%)。TOP30作品将获得三位评委的亲自点评。
五、评选标准
1.主题需围绕"在无风的时光遇见你"这个主题,呈现出舒适、有情感、无风感、自然爽的感觉,出现美的空调卖点元素(如“无风感”、“自然爽”“有情感”)的作品可加分。
2.歌曲音乐风格不设限制,可流行、说唱、摇滚、民谣、R&B、Jazz、古风等多种形式,围绕美的空调、无风感、有情感的整体调性,歌曲积极向上,充满正能量。
3.全部获奖作品为参赛人自主原创曲目(词曲全部为原创,)不得使用已有作品或其他人作品改编,最后筛选结果还会进行一轮人工审核,如发现盗取,侵权等不实行为,将被直接取消比赛及获奖资格。
六、注意事项
1. 一经参赛即视为您已经认真阅读、完全理解并同意本参赛规则及5sing用户协议的所有内容。
2.参赛作品须未在任何创作类比赛中有过任何获奖记录,参赛者拥有合法、完整著作权的作品,参赛作品若为多人共同创作完成,一经上传即视为全部著作权人同意本规则,如未经共同创作的著作权权利人同意参赛,后果由上传作品的参赛者承担。
3.参赛者可在微信、微博等第三方平台分享参赛作品,邀请他人为参赛作品投票。
4.参赛作品需为参赛者原创,不得有剽窃、抄袭、未经授权改编他人作品等侵犯他人权利的行为,否则由此与第三方产生的的纠纷由参赛者承担全部法律责任,并赔偿给主办方、承办方造成的全部损失。
5.参赛作品不得含有违反国家法律法规、色情、暴力、血腥等不良内容。
6.参赛者授权承办方无偿且永久于全世界各地区得以自行或转授权第三方行使音乐作品的著作权及与著作权相关的权利,包括但不限于复制权、信息网络传播权、表演权、发表权、发行权、改编权、广播权等。
7.承办方有权永久将参赛作品自行或转授权予第三方使用,其使用方式包括现行著作权法规定全部使用方式及将来法律修正后新增之使用方式,包括但不限于:
(1)有权优先将参赛作品录制成录音录像制品或MV并进行数位及/或实体发行推广等,录制版本次数及录制时间不限。参赛者同意将其拥有的著作人身权中发表权独家(独占排他)授权予承办方,参赛者放弃行使发表权。
(2)承办方或主办方出资将参赛者音乐作品录制成的录音录像制品或MV,参赛者不可撤销、不可解除地授权承办方或主办方如下使用方式及授权权利:
① 录音录像制品或MV出版复制发行;
② 互联网在线播放、下载、用户点歌;
③ 在线表演、在线K歌、互联网彩铃等线上音乐服务形式;
④ 运营商电信增值业务(包括但不限于彩铃);
⑤ 表演者表演该音乐作品。
8.承办方及主办方可使用音乐作品词曲作者之姓名、相片及形象等,以达推广宣传之目的。
9.承办方及主办方依参赛规则所授权权利如受第三方侵害,参赛者同意承办方或主办方以自己的名义进行调查、谈判、和解、追诉及其他必要之行动。
10.参赛者转让或独占性授权他人使用音乐作品时,应当告知第三方已授权承办方及主办方永久使用及相应的使用方式,参赛者保证承办方或主办方有权按照本参赛规则继续使用或授权他人使用参赛作品,否则承办方及主办方因此造成的损失由参赛者承担。
11.本活动所有获奖作品除依活动规则承办方向参赛者支付的相应奖金外,承办方及主办方的任何使用行为均不再对参赛者另行付费。如获奖作品为共同创作,参赛者可对奖金自主分配,由此产生的纠纷与主办方和承办方无关。所有奖金将在结果公布后陆续发放,因个人原因未能成功领取奖金的视为放弃。
12.本活动一等奖作品将有机会由金志文改编并演唱,参赛者享有作品署名权,承办方及主办方有权以自己的名义申请相关荣誉。
13.每个参赛账号可报名一个参赛类型,限制上传3部作品。
14.本次活动禁止刷票,一经发现承办方有权取消参赛者的参赛资格。
15本活动承办方为【5sing中国原创音乐基地】,主办方为【广东美的制冷设备有限公司】
16.本次活动最终解释权归5sing所有。

点评

[attachimg]285221[/attachimg]  详情 回复 发表于 2017-12-18 14:47
回复 支持 反对

使用道具 举报

 楼主| 石头_xcVNH 发表于 2017-12-18 14:47:18 | 显示全部楼层
石头_xcVNH 发表于 2017-12-18 11:18
12.30.美的空调《在无风的时光遇到你》原创歌曲征集

    无风感,有情感,在温暖的冬天,让美好不被吹散 ...

微信图片_20171218144605.jpg
回复 支持 反对

使用道具 举报

云泽 发表于 2017-12-19 17:28:18 | 显示全部楼层
啊,美的你呀,美的你,
美的你徜徉春光里,
美的留下爱的足迹,
幸福与你相偎相依。

啊,美的你呀,美的你,
美的你沐浴春风里,
美的写满爱的印记,
美好与你不离不弃。
-----------------------------------------
按作文规范,可否做一点修改,徜徉春光,那就“走过爱的足迹”;沐浴春风,那就“留下爱的印记”。原因,写不出印记,只能写日记,笔迹。印记,是留下的。

点评

说得对  详情 回复 发表于 2017-12-20 06:52
回复 支持 反对

使用道具 举报

 楼主| 石头_xcVNH 发表于 2017-12-20 06:52:05 | 显示全部楼层
云泽 发表于 2017-12-19 17:28
啊,美的你呀,美的你,
美的你徜徉春光里,
美的留下爱的足迹,

说得对
回复 支持 反对

使用道具 举报

您需要登录后才可以回帖 登录 | 快速注册

本版积分规则

QQ|小黑屋|手机版|作曲网原创音乐论坛社区 ( 鄂ICP备05006521号-2 )

鄂公网安备 42018502000750号

GMT+8, 2026-3-27 02:10 , Processed in 0.214254 second(s), 27 queries .

Powered by Discuz! X3.4

© 2001-2023 Discuz! Team.

快速回复 返回顶部 返回列表