作曲网原创音乐论坛社区

 找回密码
 快速注册

QQ登录

只需一步,快速开始

查看: 4749|回复: 28

《潮头而立》 爱家乡 颂织金 歌词二等奖,曲编唱优秀奖。

[复制链接]
不是危言耸听 发表于 2017-12-17 15:00:58 | 显示全部楼层 |阅读模式
本帖最后由 不是危言耸听 于 2018-5-30 08:48 编辑

《潮头而立》

献给《爱家乡•颂织金》毕节试验区成立30周年

朱继霖 词

从红色摇篮里呱呱坠地,
在改革开放中拔地而起,
同心思想统一战线的里程,
每一次都是信仰的洗礼。

从高原的历史遗迹走来,
向着新世纪的文明走去。
发奋励志坎坷道路改天地,
每一步都是峥嵘的足迹。

如今你潮头而立,
三十年朝朝夕夕,
三十年风风雨雨,
都是你初心不改的奇迹。

如今你潮头而立,
砥砺前行的崎岖,
坚定信念的支持,
就是你“织金”之梦的崛起。

○注潮头而立,三十而立与勇立潮头的双关语,
唐付林tfl 发表于 2017-12-17 21:27:02 | 显示全部楼层
支持、点赞!
回复 支持 反对

使用道具 举报

 楼主| 不是危言耸听 发表于 2017-12-18 10:18:31 | 显示全部楼层

感谢唐老师关注
回复 支持 反对

使用道具 举报

 楼主| 不是危言耸听 发表于 2017-12-23 10:55:47 | 显示全部楼层
人文历史的角度去赞美,双关语修辞手法。
回复 支持 反对

使用道具 举报

wsp536 发表于 2017-12-25 08:31:02 | 显示全部楼层
好词,学习支持
回复 支持 反对

使用道具 举报

 楼主| 不是危言耸听 发表于 2017-12-26 08:58:45 | 显示全部楼层
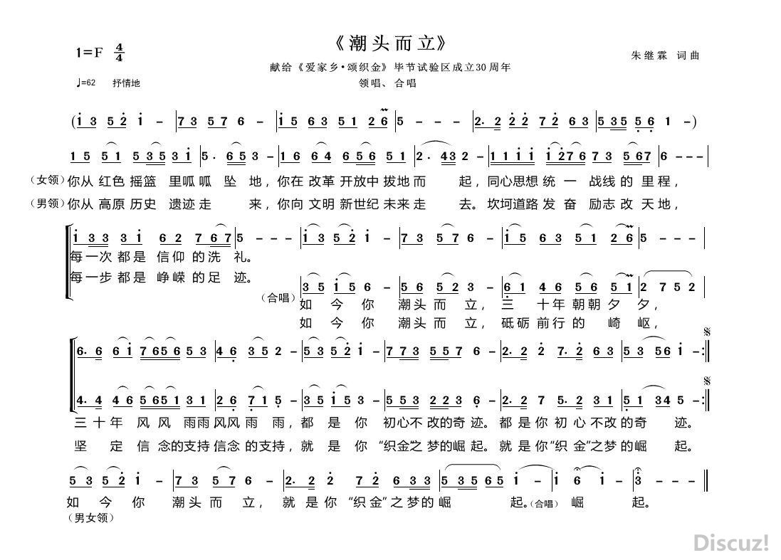
《潮头而立》
献给《爱家乡•颂织金》毕节试验区成立30周年
朱继霖 词
你从红色摇篮里呱呱坠地,
你在改革开放中拔地而起,
同心思想统一战线的里程,
每一次都是信仰的洗礼。

你从高原的历史遗迹走来,
你向文明新世纪未来走去。
坎坷道路发奋励志改天地,
每一步都是峥嵘的足迹。

如今你潮头而立,
三十年朝朝夕夕,
三十年风风雨雨,
都是你初心不改的奇迹。

如今你潮头而立,
砥砺前行的崎岖,
坚定信念的支持,
就是你“织金”之梦的崛起。

○注潮头而立,三十而立与勇立潮头的双关语,

作者:朱继霖
地址:江苏高邮市康园路惠民花园17-401
邮编:225600
手机:18014069684
回复 支持 反对

使用道具 举报

 楼主| 不是危言耸听 发表于 2017-12-27 08:24:45 | 显示全部楼层
wsp536 发表于 2017-12-25 08:31
好词,学习支持

感谢吴老师光临指教。
回复 支持 反对

使用道具 举报

秦川牛 发表于 2017-12-27 16:36:14 | 显示全部楼层
早发了信息,朱老师,你看了我发你的短信息!!
回复 支持 反对

使用道具 举报

秦川牛 发表于 2017-12-27 17:40:30 | 显示全部楼层
征集要求,有CD两张音乐!!
回复 支持 反对

使用道具 举报

 楼主| 不是危言耸听 发表于 2017-12-28 08:57:17 | 显示全部楼层
秦川牛 发表于 2017-12-27 17:40
征集要求,有CD两张音乐!!

你版主地位没有变化,我看了呀。
回复 支持 反对

使用道具 举报

 楼主| 不是危言耸听 发表于 2017-12-28 09:43:13 | 显示全部楼层
再次感谢所有支持的朋友
回复 支持 反对

使用道具 举报

 楼主| 不是危言耸听 发表于 2018-5-30 08:08:32 | 显示全部楼层
以为禁言,谁知恢复很快,获奖不易,几次修改,曲谱是这样的,马上发出来
潮头而立.jpg
潮头而立 朱继霖 词曲 王艺涛 演唱2.mp3 (7.59 MB, 下载次数: 330)
回复 支持 反对

使用道具 举报

 楼主| 不是危言耸听 发表于 2018-5-30 08:10:05 | 显示全部楼层
本帖最后由 不是危言耸听 于 2018-5-30 08:48 编辑

歌词二等奖,曲编唱优秀奖。
回复 支持 反对

使用道具 举报

 楼主| 不是危言耸听 发表于 2018-5-30 08:52:43 | 显示全部楼层
应沧风老师和其他老师要求,晒下作品,原创歌曲。http://5sing.kugou.com/yc/3572280.html
回复 支持 反对

使用道具 举报

细雨绵绵 发表于 2018-5-30 10:03:32 | 显示全部楼层
祝福你,朱老师,点赞
回复 支持 反对

使用道具 举报

梅传忠 发表于 2018-5-30 10:28:14 来自手机 | 显示全部楼层
热烈祝贺朱老师!!!
回复 支持 反对

使用道具 举报

往事如_X6s3n 发表于 2018-5-30 10:41:10 | 显示全部楼层
祝贺朱老师喜获丰收!!
回复 支持 反对

使用道具 举报

不管是谁 发表于 2018-5-30 11:30:56 来自手机 | 显示全部楼层
本帖最后由 不管是谁 于 2018-5-31 07:03 编辑
细雨绵绵 发表于 2018-5-30 10:03
祝福你,朱老师,点赞


共同祝贺朱老师。
回复 支持 反对

使用道具 举报

辽宁冷桂萍 发表于 2018-5-30 13:04:42 来自手机 | 显示全部楼层
祝贺朱老师!为诚信征歌点赞!
回复 支持 反对

使用道具 举报

请风拂岗 发表于 2018-5-30 13:06:00 | 显示全部楼层
祝贺朱老师获奖!
回复 支持 反对

使用道具 举报

 楼主| 不是危言耸听 发表于 2018-5-30 14:46:49 | 显示全部楼层

谢谢好友陈老师,金老师,冷老师慧眼识珠!!!没获奖就看好我。
回复 支持 反对

使用道具 举报

我爱原创音乐 发表于 2018-5-30 15:17:22 来自手机 | 显示全部楼层
热烈祝贺老师获奖
回复 支持 反对

使用道具 举报

音乐佳 发表于 2018-5-30 20:32:10 | 显示全部楼层
《潮头而立》
献给《爱家乡•颂织金》毕节试验区成立30周年
朱继霖 词
你从红色摇篮里呱呱坠地,
你在改革开放中拔地而起,
同心思想统一战线的里程,
每一次都是信仰的洗礼。

你从高原的历史遗迹走来,
你向文明新世纪未来走去。
坎坷道路发奋励志改天地,
每一步都是峥嵘的足迹。

如今你潮头而立,
三十年朝朝夕夕,
三十年风风雨雨,
都是你初心不改的奇迹。

如今你潮头而立,
砥砺前行的崎岖,
坚定信念的支持,
就是你“织金”之梦的崛起。

○注潮头而立,三十而立与勇立潮头的双关语,

作者:朱继霖
地址:江苏高邮市康园路惠民花园17-401

要好好学习一下,真棒
回复 支持 反对

使用道具 举报

 楼主| 不是危言耸听 发表于 2018-5-31 10:32:38 | 显示全部楼层
音乐佳 发表于 2018-5-30 20:32
《潮头而立》
献给《爱家乡•颂织金》毕节试验区成立30周年
朱继霖 词

慧眼识珠也是一种才能。谢谢。欢迎加我的微信,有词曲编唱交流。18014069684加我。
回复 支持 反对

使用道具 举报

您需要登录后才可以回帖 登录 | 快速注册

本版积分规则

QQ|小黑屋|手机版|作曲网原创音乐论坛社区 ( 鄂ICP备05006521号-2 )

鄂公网安备 42018502000750号

GMT+8, 2026-3-28 03:15 , Processed in 0.218522 second(s), 27 queries .

Powered by Discuz! X3.4

© 2001-2023 Discuz! Team.

快速回复 返回顶部 返回列表