作曲网原创音乐论坛社区

 找回密码
 快速注册

QQ登录

只需一步,快速开始

查看: 1601|回复: 13

《我也会发明》。我也会发明征歌。5月18日止。

[复制链接]
美丽心情风无痕 发表于 2017-4-23 18:05:01 | 显示全部楼层 |阅读模式
本帖最后由 美丽心情风无痕 于 2017-4-23 18:46 编辑

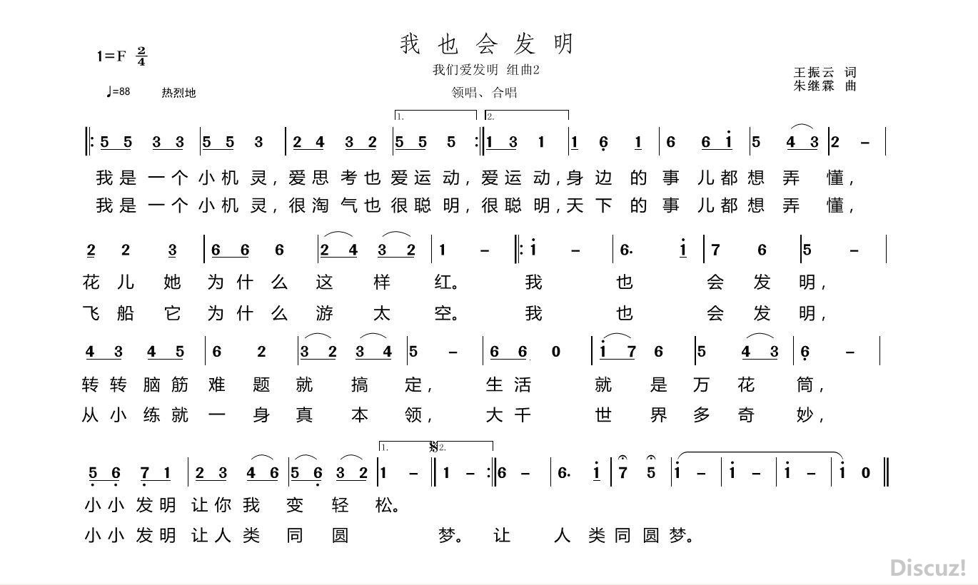
我也会发明

我是一个小机灵,
爱思考爱运动,
身边的事儿都想弄懂,
花儿她为什么这样红。

我是一个小机灵,
很淘气很聪明,
天下的事儿都想弄懂,
飞船它为什么游太空。

我也会发明,
转转脑筋难题就搞定,
生活就是万花筒,
小小发明让你我变轻松。

我也会发明,
从小练就一身真本领,
大千世界多奇妙,
小小发明让人类同圆梦。

王振云15101057185,邮箱925191925@qq.com
 楼主| 美丽心情风无痕 发表于 2017-4-23 18:05:36 | 显示全部楼层
《我也会发明》系列动漫小说主人公原创形象昵称、主题曲征集令

他,是生活中的“小发明家”;他,是解决问题的小能手;他,是敢于挑战经典的小能人儿。
他活泼、机灵、爱思考;他聪明、勇敢、爱提问;他顽皮、淘气、爱运动;他乖巧、懂事、爱助人。
他,就是知识产权出版社有限责任公司原创系列动漫小说《我也会发明》的小主人公。从今天起,出版社面向社会征集小主人公的卡通形象、姓名及小说动漫主题曲,希望富有想象力、创造力、探索力的你,能够设计出一个超凡脱俗、独具匠心、栩栩如生的“他”!
活动名称
《我也会发明》系列动漫小说主人公原创卡通形象、昵称;主题曲征集令
征集时间
2017年1月18日至2017年5月18日。
组织机构
主办方:知识产权出版社有限责任公司
征集对象:全国各单位和个人
征集要求
需设计小主人公及其父母的三个卡通形象系列组合并配以姓名(昵称),为便于日后编写故事,要求造型之间有关联性,并将本组合形象配以背景;
卡通形象以人物造型为主,也可以创造拟人化的动物造型,要求个性鲜明;
创作的卡通形象要求线条明快,色彩协调,造型简洁,吻合社会大众的审美偏好,易于被识别和记忆,便于产品转化;
应征者需提交一套完整的设计方案,包含:卡通形象正面(设计图底部需要加上“我也会发明原创形象”字样)、侧面、背面的平面设计图稿及表现卡通形象性格特点的各式表情图,分开上传,同时提交形象名称、创作理念。投稿作品必须保证为原创作品。
主题曲要求旋律欢快、顺畅自然;歌词要求朗朗上口、易于记诵。
应征者需将投稿作品上传到创客IP网站上(https://www.maker-ip.com/app)。
参选形象作品应具有可操作性,作品规格可便于印刷或制成模型等立体化展示,适用于平面、立体和电子媒介的传播和再创作;适合制作成吉祥物进行收藏、互赠、陈列等;适合制作成雕刻、绘画、饰物、玩具;适合制作成动画、游戏等动漫产品参与大型活动宣传。
每名参赛者(包括单位或个人)仅限投一部作品,所投作品若有修改,将以最后上传日期的作品为准。
作品规格
卡通形象及姓名参选作品上传图片为白色背景的jpg文件;
卡通形象及姓名参选作品需要参选作者提供高精度CMYK模式的设计原图,以便获选后供主办方推广使用。
(1)尺寸不小于A4大小的PSD源文件;
(2)AI或CDR格式的矢量图;
主题曲参赛作品上传格式为MP3。
参选作品的法律声明
参选作品必须保证是参选作者按照本要求独立完成的原创作品,此前未以任何形式公开发表或使用过;参选作品不得侵犯他人著作权、商标权、商号权、专利权、名称权等其他合法权利,否则,由此引发的一切责任由参选作者承担。
应征者向主办方提交应征作品,视为应征者接受主办方的委托创作应征作品,获选作品(包括一等奖作品、二等奖作品及三等奖作品),在向其作者支付奖金后,其一切著作权(署名权除外)归主办方享有,获选作品的著作权人应在自愿基础上与主办方签订书面著作权委托创作合同。主办方对获选作品享有《中华人民共和国著作权法》规定的一切著作权(署名权除外);主办方有权以任何形式永久使用获选作品,未经主办方同意,包括应征者在内的任何人均不得以任何形式使用获选作品;主办方有权对获选作品作任何形式的修改而无须征得应征者的同意;主办方以任何形式使用获选作品而产生的知识产权(包括但不限于著作权、商标权、专利权等)归主办方所有;主办方除根据本征集令的有关规定向有关应征者获选作品支付奖金外,将不再向应征者支付任何报酬和费用;应征者不得在任何时候以任何方式向主办方主张分享其获选作品的利用所带来的利润或者其他利益。
与本次征集活动有关的一切争议和解释均应适用中华人民共和国法律;本征集令为要约,任何应征者根据本征集令在指定的时间内向主办方递交应征作品及其相关文件资料的行为均视为承诺,表明其接受本征集令的所有条款。
(注:本次活动的解释权归知识产权出版社有限责任公司。)
评选办法
本次活动的评选方式由网络投票和专家评审两个部分组成。其中,专家评委由非本社的相关动漫专家组成。
奖项设置
卡通形象及姓名组:
一等奖:1名,颁发获奖证书,奖金5万元(税前);
二等奖:3名,颁发获奖证书,每人奖金1万元(税前);
三等奖:6名,颁发获奖证书,每人奖金5千元(税前)。
主题曲组:
一等奖:1名,颁发获奖证书,奖金3万元(税前);
二等奖:3名,颁发获奖证书,每人奖金8千元(税前);
三等奖:6名,颁发获奖证书,每人奖金3千元(税前)。
【备注】为方便大家设计卡通形象,《我也会发明》原创小说、剧本可在创客IP阅读下载,网址https://www.maker-ip.com
联系方式
联系人:李丹芷
联系电话:010-82000905
电子邮箱:413263037@qq.com
回复 支持 反对

使用道具 举报

往事如_X6s3n 发表于 2017-4-23 20:43:16 | 显示全部楼层
学习欣赏老师佳作!预祝老师获奖!

点评

谢谢老师鼓励。问好。  详情 回复 发表于 2017-4-25 07:46
回复 支持 反对

使用道具 举报

 楼主| 美丽心情风无痕 发表于 2017-4-25 07:46:34 | 显示全部楼层
往事如_X6s3n 发表于 2017-4-23 20:43
学习欣赏老师佳作!预祝老师获奖!

谢谢老师鼓励。问好。
回复 支持 反对

使用道具 举报

谢义好好 发表于 2017-4-25 08:03:59 | 显示全部楼层
充满童趣,一首好词,我学习欣赏啦,祝福好运。

点评

谢谢谢老师鼓励。问好。  详情 回复 发表于 2017-4-30 18:58
回复 支持 反对

使用道具 举报

于学东 发表于 2017-4-26 12:11:49 | 显示全部楼层

人小志气大。支持王老师好词

点评

谢谢于老师鼓励。问好。  详情 回复 发表于 2017-4-30 18:58
回复 支持 反对

使用道具 举报

 楼主| 美丽心情风无痕 发表于 2017-4-30 18:58:01 | 显示全部楼层
谢义好好 发表于 2017-4-25 08:03
充满童趣,一首好词,我学习欣赏啦,祝福好运。

谢谢谢老师鼓励。问好。
回复 支持 反对

使用道具 举报

 楼主| 美丽心情风无痕 发表于 2017-4-30 18:58:37 | 显示全部楼层
于学东 发表于 2017-4-26 12:11
人小志气大。支持王老师好词

谢谢于老师鼓励。问好。
回复 支持 反对

使用道具 举报

不是危言耸听 发表于 2017-5-14 11:16:54 | 显示全部楼层
歌词有一点点小失误已经给你改了。
回复 支持 反对

使用道具 举报

不是危言耸听 发表于 2017-5-14 11:17:51 | 显示全部楼层
我也要发明.jpg
我也要发明.mp3 (1.81 MB, 下载次数: 167)

点评

谢谢朱老师赐曲。下午我就上传征集网站。预祝佳绩。  详情 回复 发表于 2017-5-14 12:30
回复 支持 反对

使用道具 举报

 楼主| 美丽心情风无痕 发表于 2017-5-14 12:30:08 | 显示全部楼层

谢谢朱老师赐曲。下午我就上传征集网站。预祝佳绩。
回复 支持 反对

使用道具 举报

清风子 发表于 2017-5-16 19:01:04 | 显示全部楼层
学习王老师好词,祝获大奖!

点评

谢谢杜老师鼓励。  详情 回复 发表于 2017-5-17 20:35
回复 支持 反对

使用道具 举报

 楼主| 美丽心情风无痕 发表于 2017-5-17 20:35:00 | 显示全部楼层
清风子 发表于 2017-5-16 19:01
学习王老师好词,祝获大奖!

谢谢杜老师鼓励。
回复 支持 反对

使用道具 举报

您需要登录后才可以回帖 登录 | 快速注册

本版积分规则

QQ|小黑屋|手机版|作曲网原创音乐论坛社区 ( 鄂ICP备05006521号-2 )

鄂公网安备 42018502000750号

GMT+8, 2026-3-25 05:54 , Processed in 0.177050 second(s), 25 queries .

Powered by Discuz! X3.4

© 2001-2023 Discuz! Team.

快速回复 返回顶部 返回列表