作曲网原创音乐论坛社区

 找回密码
 快速注册

QQ登录

只需一步,快速开始

查看: 967|回复: 9

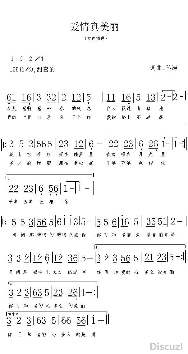
[原创首发] 《爱情真美丽》妩媚老师演绎 词曲编 孙涛

[复制链接]
酷酷深蓝 发表于 2017-4-6 12:34:08 | 显示全部楼层 |阅读模式
本帖最后由 酷酷深蓝 于 2017-4-6 13:50 编辑


爱情真美丽.jpg

评分

参与人数 1威望 +8 收起 理由
武俊毅 + 8 赞一个!

查看全部评分

武俊毅 发表于 2017-4-6 17:25:30 | 显示全部楼层
孙老师又出佳作,欢快甜美,流畅动听,点赞学习了。(小建议:B段的第三个乐句“的流星”对应的365,落在了5上,与第四句落音重复,若改为356,乐句间的交替可能更好些)

点评

关于您提到的那个问题 是故意这样安排的 因为 段落要结束了 副歌1段的后面结束音应该在1上 但是为了强调返回去重新再唱的气氛 所以 那里把1换成了5 至于前面的那个3 65 不应该换成356 因为5在这里不是过度音  详情 回复 发表于 2017-4-6 17:43
谢谢武老师光临 问好  详情 回复 发表于 2017-4-6 17:30
回复 支持 反对

使用道具 举报

 楼主| 酷酷深蓝 发表于 2017-4-6 17:30:25 | 显示全部楼层
武俊毅 发表于 2017-4-6 17:25
孙老师又出佳作,欢快甜美,流畅动听,点赞学习了。(小建议:B段的第三个乐句“的流星”对应的365,落在了 ...

谢谢武老师光临 问好
回复 支持 反对

使用道具 举报

 楼主| 酷酷深蓝 发表于 2017-4-6 17:43:35 | 显示全部楼层
武俊毅 发表于 2017-4-6 17:25
孙老师又出佳作,欢快甜美,流畅动听,点赞学习了。(小建议:B段的第三个乐句“的流星”对应的365,落在了 ...

关于您提到的那个问题  是故意这样安排的 因为 段落要结束了 副歌1段的后面结束音应该在1上   但是为了强调返回去重新再唱的气氛   所以 那里把1换成了5  至于前面的那个3 65 不应该换成356  因为5在这里不是过度音符 时值占了一个小节  它是属音   对大调歌曲有强烈的支撑作用  否则 可能使调性有变化   ---------非常感谢您啊武老师   多多交流     谢谢您宝贵的意见

点评

呵呵,我也只是那么一说,感到连续两个乐句落在属音上显得单调不好听,且第三句作为转折句,落在小调的6上与乐句的分解和弦既统一,又显得生动。只是个见,让您见笑了。  详情 回复 发表于 2017-4-6 18:04
回复 支持 反对

使用道具 举报

武俊毅 发表于 2017-4-6 18:04:38 | 显示全部楼层
本帖最后由 武俊毅 于 2017-4-6 18:12 编辑
酷酷深蓝 发表于 2017-4-6 17:43
关于您提到的那个问题  是故意这样安排的 因为 段落要结束了 副歌1段的后面结束音应该在1上   但是为了强 ...


呵呵,我也只是那么一说,感到连续两个乐句落在属音上显得单调不好听,且第三句作为转折句,本身就是小调的分解和弦,落在6上既统一,又生动。只是个见,让您见笑了。

点评

武老师太客气啦 有争论才有进步嘛 何谈见笑那 不会的  详情 回复 发表于 2017-4-7 00:36
回复 支持 反对

使用道具 举报

山水另一端 发表于 2017-4-6 20:44:23 | 显示全部楼层
亲切温馨、轻松流畅,好听!

点评

谢谢山水另一端朋友光临  详情 回复 发表于 2017-4-7 00:33
回复 支持 反对

使用道具 举报

 楼主| 酷酷深蓝 发表于 2017-4-7 00:33:30 | 显示全部楼层
山水另一端 发表于 2017-4-6 20:44
亲切温馨、轻松流畅,好听!

谢谢山水另一端朋友光临  
回复 支持 反对

使用道具 举报

 楼主| 酷酷深蓝 发表于 2017-4-7 00:36:03 | 显示全部楼层
武俊毅 发表于 2017-4-6 18:04
呵呵,我也只是那么一说,感到连续两个乐句落在属音上显得单调不好听,且第三句作为转折句,本身就是小 ...

武老师太客气啦  有争论才有进步嘛  何谈见笑那    不会的       
回复 支持 反对

使用道具 举报

shuangshitian 发表于 2017-4-24 00:16:56 | 显示全部楼层
欣赏老师美妙音乐!太棒了!我喜欢!

点评

车老师好啊 好久不见 问好  详情 回复 发表于 2017-4-24 14:06
回复 支持 反对

使用道具 举报

 楼主| 酷酷深蓝 发表于 2017-4-24 14:06:55 | 显示全部楼层
shuangshitian 发表于 2017-4-24 00:16
欣赏老师美妙音乐!太棒了!我喜欢!

车老师好啊  好久不见   问好
回复 支持 反对

使用道具 举报

您需要登录后才可以回帖 登录 | 快速注册

本版积分规则

QQ|小黑屋|手机版|作曲网原创音乐论坛社区 ( 鄂ICP备05006521号-2 )

鄂公网安备 42018502000750号

GMT+8, 2026-3-25 05:55 , Processed in 0.178483 second(s), 28 queries .

Powered by Discuz! X3.4

© 2001-2023 Discuz! Team.

快速回复 返回顶部 返回列表