作曲网原创音乐论坛社区

 找回密码
 快速注册

QQ登录

只需一步,快速开始

查看: 1476|回复: 2

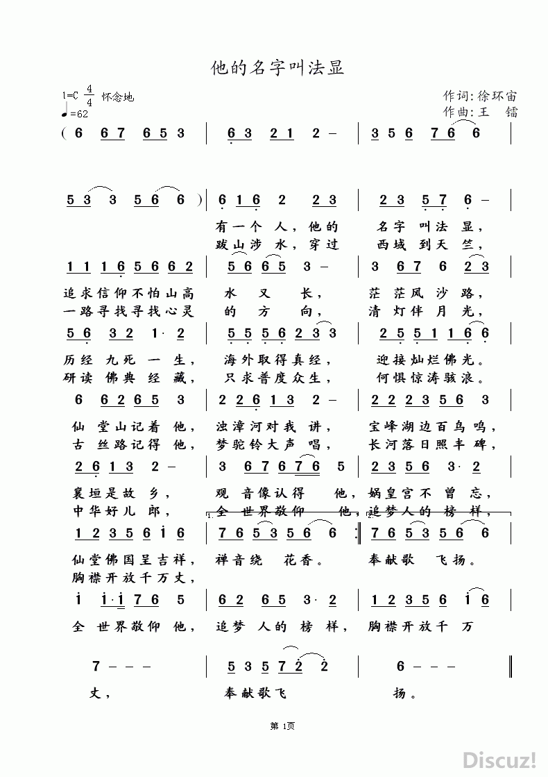
[原创首发] 《他的名字叫法显》徐环宙词 王镭曲、编、唱

[复制链接]
寒澈骨 发表于 2016-12-30 11:36:14 | 显示全部楼层 |阅读模式
他的名字叫法显(王镭)唱.mp3 (6.85 MB, 下载次数: 137)
他的名字叫法显.gif
武俊毅 发表于 2016-12-30 18:14:07 | 显示全部楼层
很好听的歌,词曲很贴切,王老师唱得也很棒,点赞支持!
回复 支持 反对

使用道具 举报

再顺 发表于 2016-12-31 13:23:50 | 显示全部楼层
听王老师的音乐是种享受!张宏梁敬祝先生新年快乐,万事如意!
回复 支持 反对

使用道具 举报

您需要登录后才可以回帖 登录 | 快速注册

本版积分规则

QQ|小黑屋|手机版|作曲网原创音乐论坛社区 ( 鄂ICP备05006521号-2 )

鄂公网安备 42018502000750号

GMT+8, 2026-3-24 12:27 , Processed in 0.145510 second(s), 23 queries .

Powered by Discuz! X3.4

© 2001-2023 Discuz! Team.

快速回复 返回顶部 返回列表