作曲网原创音乐论坛社区

 找回密码
 快速注册

QQ登录

只需一步,快速开始

查看: 1442|回复: 10

《甘洛路上》-----甘洛征歌(11.15截止)

  [复制链接]
云泽 发表于 2016-11-9 17:28:47 | 显示全部楼层 |阅读模式
本帖最后由 云泽 于 2017-10-20 14:48 编辑

##############################################################
 楼主| 云泽 发表于 2016-11-9 17:30:28 | 显示全部楼层
征集启事
甘洛县自1956年建县以来,在党的民主政策光辉照耀下,在60年的建设和发展中,特别是改革开放30多年来,甘洛经济社会发展取得令人瞩目的成就。为振奋精神,凝聚人心,激发斗志,弘扬民族文化,展现甘洛风土人情,提升甘洛的知名度和美誉度,现决定面向社会征集歌曲。
一、征集时间
2016年10月10日—2016年11月15日。
二、作品要求
1.征集创作的歌曲要主题鲜明,贴近县情,能充分反映甘洛县的历史文化、风土人情、自然风光、发展成就等特点。
2.歌曲要求特色鲜明、情感饱满丰富、文明健康、昂扬向上,既蕴含甘洛历史文化底蕴又能展现甘洛时代风采,做到传统元素和时代精神有机融合。
3.具有较强的感召力和艺术表现力,词曲优美动听,朗朗上口,易于传唱。
三、评选办法
邀请专业人士进行评审,从中评出优秀作品12首,每首(含词、曲)稿酬8000元。
四、联系方式
电子邮件 :228334661@QQ.COM,并在邮件主题注明“甘洛歌曲征集”字样。
五、相关事项
1.根据我国《著作权法》有关规定,活动主办单位对入选作品拥有所有权、修改权和使用权;所有应征作品的复制权(印刷、录音、录像、发行、表演、电视播放、广播、网络传播)归甘洛县文联、甘洛县文化馆所有。
2.应征作品须为原创,如涉及著作权、版权纠纷等法律问题,由作者本人负责。
3.作者享有署名权。
4.凡参与本次歌曲征集活动的投稿人均被视为认可本启事内容。
5.本次活动的有关事项由甘洛县文联、甘洛县文化馆负责解释。
     甘洛县文联  甘洛县文化   2016年10月3日
回复 支持 反对

使用道具 举报

三聪 发表于 2016-11-10 08:43:08 | 显示全部楼层
好友好词,送出我的-福。
回复 支持 反对

使用道具 举报

 楼主| 云泽 发表于 2016-11-10 10:27:43 | 显示全部楼层
三聪 发表于 2016-11-10 08:43
好友好词,送出我的-福。

谢谢三聪先生一直鼓励!期待更多更好的合作!
回复 支持 反对

使用道具 举报

彭城慧星 发表于 2016-11-11 13:57:35 | 显示全部楼层
云泽兄弟的词总是写的那么好,先顶贴再来学习!
回复 支持 反对

使用道具 举报

 楼主| 云泽 发表于 2016-11-11 15:21:17 | 显示全部楼层
彭城慧星 发表于 2016-11-11 13:57
云泽兄弟的词总是写的那么好,先顶贴再来学习!

谢谢你的关注!
人一定要明辨是非,爱憎分明!与那些只会扯淡,只会抄袭的人混在一起不好!

点评

坚决反对抄袭,获奖不获奖不重要,写自己的作品,重在参与,重在娱乐!谢谢你的提醒!  详情 回复 发表于 2016-11-11 15:27
回复 支持 反对

使用道具 举报

彭城慧星 发表于 2016-11-11 15:27:47 | 显示全部楼层
云泽 发表于 2016-11-11 15:21
谢谢你的关注!
人一定要明辨是非,爱憎分明!与那些只会扯淡,只会抄袭的人混在一起不好 ...

坚决反对抄袭,获奖不获奖不重要,写自己的作品,重在参与,重在娱乐!谢谢你的提醒!
回复 支持 反对

使用道具 举报

 楼主| 云泽 发表于 2016-11-11 18:25:15 来自手机 | 显示全部楼层
彭城慧星 发表于 2016-11-11 15:27
坚决反对抄袭,获奖不获奖不重要,写自己的作品,重在参与,重在娱乐!谢谢你的提醒!

非常正确!我们就应该这样快乐自由前行!
回复 支持 反对

使用道具 举报

 楼主| 云泽 发表于 2016-11-16 09:50:01 | 显示全部楼层
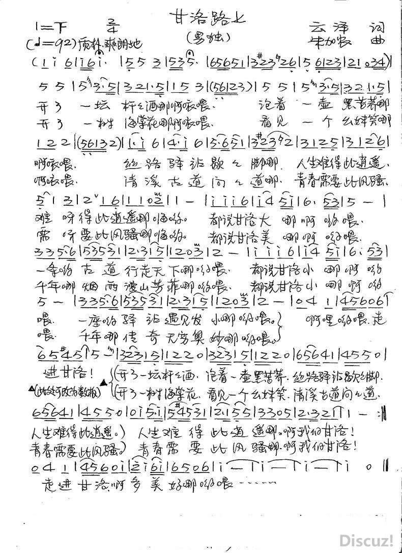
甘洛路上         云泽 词(1).jpg
回复 支持 反对

使用道具 举报

 楼主| 云泽 发表于 2016-11-16 09:50:30 | 显示全部楼层
谢谢朱加农老师合作!
回复 支持 反对

使用道具 举报

 楼主| 云泽 发表于 2017-1-3 18:37:37 来自手机 | 显示全部楼层
本帖最后由 云泽 于 2017-1-3 18:50 编辑
云泽 发表于 2016-11-16 09:50


与朱老师名落孙山。甘洛征歌,一个假字了得。什么主席牛口不对马嘴的垃圾作品多篇入选,看那评分表,第一个评委天上地下胡乱打分(不是胡乱,就是授意,指派,要求的),一个人决定了所以名次,尽然把其它三评委给最低分的作品,他一个人给最高分,让它入选。奉劝不要低处行走,狗屁不通的扯淡,一定要低调做人,克己奉公的当官。如今征歌,十征七假,要获奖多在作品之外下功夫,还得懂杜撰,夸大,包装,营销,多脸上贴金,多作邪淫邪的。
回复 支持 反对

使用道具 举报

您需要登录后才可以回帖 登录 | 快速注册

本版积分规则

QQ|小黑屋|手机版|作曲网原创音乐论坛社区 ( 鄂ICP备05006521号-2 )

鄂公网安备 42018502000750号

GMT+8, 2026-3-24 03:09 , Processed in 0.176189 second(s), 23 queries .

Powered by Discuz! X3.4

© 2001-2023 Discuz! Team.

快速回复 返回顶部 返回列表