作曲网原创音乐论坛社区

 找回密码
 快速注册

QQ登录

只需一步,快速开始

查看: 884|回复: 9

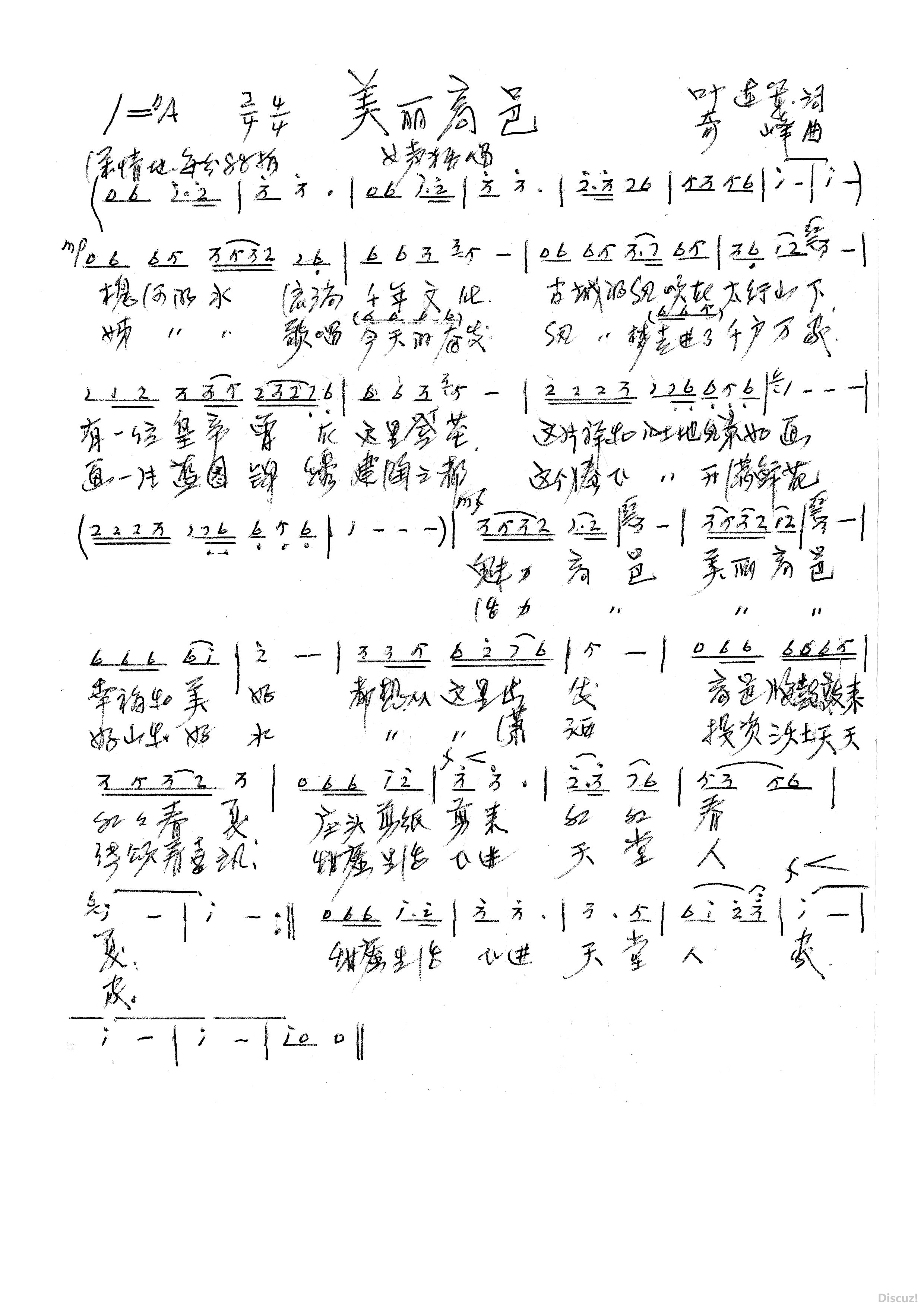
[原创首发] 《美丽高邑》叶连军词奇峰曲

[复制链接]
三聪 发表于 2016-10-31 11:50:55 | 显示全部楼层 |阅读模式
(爱我的、我爱的,就谱,开心就好)
20161031_112806美丽高.jpg
 楼主| 三聪 发表于 2016-11-3 13:46:38 | 显示全部楼层
叶帅 发表于 2016-10-31 14:03
这样吧,李老师,请你把这歌谱手写字迹正规好一点,照片把光线调强一些,这样征歌方能接受,否则,
又要 ...

好的。尽量完成。祝好

点评

远握,问好。祝福!  详情 回复 发表于 2016-11-3 13:48
回复 支持 1 反对 0

使用道具 举报

叶帅 发表于 2016-10-31 12:07:05 | 显示全部楼层
李老师,投稿了没有?

点评

我不会发送。还要麻烦你了。祝好  详情 回复 发表于 2016-10-31 12:15
回复 支持 反对

使用道具 举报

 楼主| 三聪 发表于 2016-10-31 12:15:43 | 显示全部楼层
叶帅 发表于 2016-10-31 12:07
李老师,投稿了没有?

我不会发送。还要麻烦你了。祝好

点评

这样吧,李老师,请你把这歌谱手写字迹正规好一点,照片把光线调强一些,这样征歌方能接受,否则, 又要说不清楚,图片太灰暗了。再发我投稿。  详情 回复 发表于 2016-10-31 14:03
回复 支持 反对

使用道具 举报

叶帅 发表于 2016-10-31 14:03:21 | 显示全部楼层
三聪 发表于 2016-10-31 12:15
我不会发送。还要麻烦你了。祝好

这样吧,李老师,请你把这歌谱手写字迹正规好一点,照片把光线调强一些,这样征歌方能接受,否则,
又要说不清楚,图片太灰暗了。再发我投稿。

点评

好的。尽量完成。祝好  详情 回复 发表于 2016-11-3 13:46
回复 支持 反对

使用道具 举报

司传和 发表于 2016-11-3 10:00:03 | 显示全部楼层
欣赏老师的好歌来了!

点评

多谢司老师的支持。祝好。  详情 回复 发表于 2016-11-3 13:44
回复 支持 反对

使用道具 举报

 楼主| 三聪 发表于 2016-11-3 13:44:43 | 显示全部楼层
司传和 发表于 2016-11-3 10:00
欣赏老师的好歌来了!

多谢司老师的支持。祝好。
回复 支持 反对

使用道具 举报

叶帅 发表于 2016-11-3 13:48:59 | 显示全部楼层
三聪 发表于 2016-11-3 13:46
好的。尽量完成。祝好

远握,问好。祝福!

点评

你好,到街扫苗了。比原来清楚多了。看到请回复。祝好。  详情 回复 发表于 2016-11-6 16:48
回复 支持 反对

使用道具 举报

 楼主| 三聪 发表于 2016-11-6 16:48:18 | 显示全部楼层
叶帅 发表于 2016-11-3 13:48
远握,问好。祝福!

你好,到街扫苗了。比原来清楚多了。看到请回复。祝好。
20161106012935277_0001美丽高.jpg

点评

李老师,你好。看到了,还行。谢谢你!  详情 回复 发表于 2016-11-6 19:04
回复 支持 反对

使用道具 举报

叶帅 发表于 2016-11-6 19:04:51 | 显示全部楼层
三聪 发表于 2016-11-6 16:48
你好,到街扫苗了。比原来清楚多了。看到请回复。祝好。

李老师,你好。看到了,还行。谢谢你!
回复 支持 反对

使用道具 举报

您需要登录后才可以回帖 登录 | 快速注册

本版积分规则

QQ|小黑屋|手机版|作曲网原创音乐论坛社区 ( 鄂ICP备05006521号-2 )

鄂公网安备 42018502000750号

GMT+8, 2026-3-24 06:11 , Processed in 0.185754 second(s), 32 queries .

Powered by Discuz! X3.4

© 2001-2023 Discuz! Team.

快速回复 返回顶部 返回列表