作曲网原创音乐论坛社区

 找回密码
 快速注册

QQ登录

只需一步,快速开始

查看: 3393|回复: 18

安泽县县歌应征歌词2首 朱家农曲

[复制链接]
荒原 发表于 2016-10-26 08:20:16 来自手机 | 显示全部楼层 |阅读模式
本帖最后由 荒原 于 2018-2-8 11:26 编辑

《魅力安泽》
--安泽县县歌应征歌词

(荒原)

这是一片蓬勃的土地
生态名县全国数一
这是一片富饶的土地
煤气连翘产量居奇

这是一片红色的土地
革命老区光辉足迹
这是一片智慧的土地
荀子文化芳泽华夏

啊 魅力安泽 安泽魅力
孕育生机 凝心聚力
乘着时代的巨轮
你正在扬帆万里

啊 美丽安泽 安泽美丽
沉淀历史 薄发厚积
迎着时代的东风
你在展开腾飞羽翼

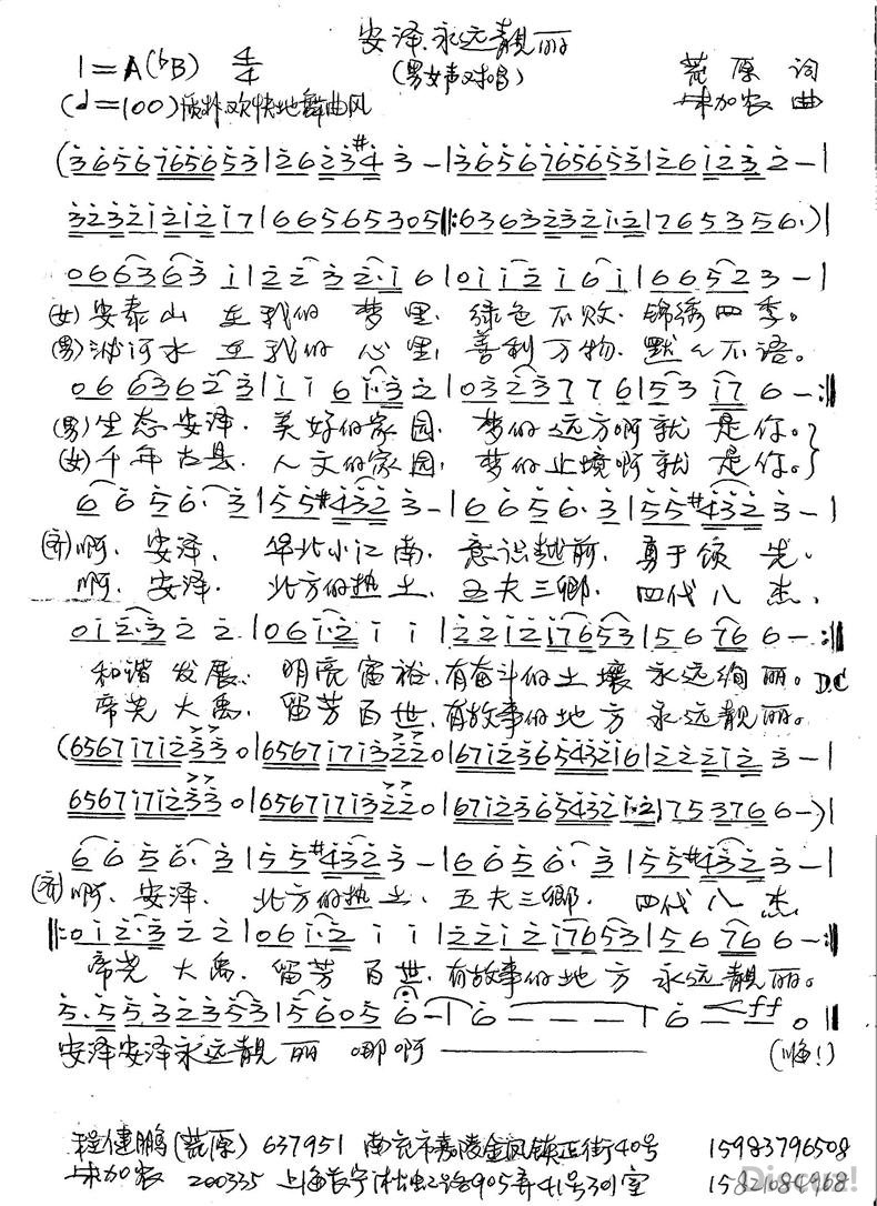
《永远靓丽》
--安泽县县歌应征歌词

(荒原)

安泰山在我梦里
绿色不败 锦绣四季
生态安泽 美好家园
梦的远方就是你
啊 安泽 华北小江南
意识超前 勇于领先
和谐发展 明亮富裕
有奋斗的土壤永远绚丽


泌河水在我心里
善利万物 默默不语
千年古县 人文家园
梦的止境就是你
啊 安泽 北方的热土
五夫三卿 四代八杰
帝尧大禹 留芳百世
有故事的地方永远靓丽

通联:
邮编:637951
地址:四川省南充市嘉陵区金凤镇正街40号
荒原(程健鹏)
电话:15983796508   
QQ:2178492960 QQ:1245121808  
微信:HY15983796508
安泽永远靓丽     荒原 词(1).jpg
 楼主| 荒原 发表于 2016-10-26 14:10:45 来自手机 | 显示全部楼层
投稿须知     1、应征稿件一律采用A4纸打印一式5份,可采取单词、单曲或词曲并投、简谱谱曲的形式投稿。  即日起至2016年10月31日止。关于征集安泽县县歌的启事  安泽历史悠久,早在五千多年前就有先民定居,是华夏民族部落首领炎帝最初建立伊氏国之故地、帝尧陶唐氏畿内之域、大禹治水首功之地,是全省首家被联合国地名专家组授予的中华“千年古县”。安泽环境优美,是全国生态示范区、全省清洁水源地、省级森林公园,森林覆盖率高达67.2%,居全省第一,全年二级以上天数达354天以上,是全国首家以县为单位整体通过ISO 14001国际环境管理体系认证的县。安泽物产丰富,1967平方公里的土地下,煤炭贮藏面积高达1944平方公里,总储量240亿吨以上,煤层气储量达4400亿立方,野生动植物品种达800余种,优质中药材达288种,尤其是野生连翘占到全国总产量的四分之一,是全国连翘生产第一县。安泽红色传承,太岳行署、太岳军区司令部、太岳军区政治部、太岳兵工厂以及新华日报印刷厂和太岳行署都曾驻扎在这里,刘少奇、朱德、邓小平、薄一波、陈赓等老一辈革命家都在这里生活和战斗过,留下了光辉的足迹。安泽人杰地灵,在这块文化底蕴深厚的古老土地上,不仅孕育了“五夫三卿、四代八杰”的晋国上大夫冀芮、冀缺一家和协助司马光编纂《资治通鉴》的刘恕等历史名人,而且在“百家争鸣”的春秋战国时代,还诞生了我国古代伟大的思想家、教育家、文学家、先秦“诸子百家”的集大成者——后圣荀子。  为了传承先进文化,扩大安泽的知名度和美誉度,提升安泽形象,县委、县政府研究决定面向全社会开展县歌征集活动,现就有关事项公告如下:  一、组织机构     1、主办单位:中共安泽县委、安泽县人民政府     2、承办单位:政协安泽县委员会    二、征集办法    1、征集对象:面向社会各界人士,特别是广大词曲作者、爱好者。     2、征集时间:即日起至2016年10月31日止。    3、奖项设置:本次征集活动设最佳“作词奖”、最佳“作曲奖”各1名奖金5000元,提名“作词奖”、提名“作曲奖”各10名奖金1000元。多人作词、谱曲的同一首歌词、歌曲不重复奖励。    三、作品要求    1、作品内容要求主题鲜明,立意高远,创意新颖,健康向上,旋律优美。    2、能够反映安泽厚重的历史、优美的自然风光,传统文化和风土人情,体现安泽人民的现实生活与情感,展示出安泽人民的精神风貌以及经济社会建设的巨大成果。     3、歌词要雅俗共赏,朗朗上口,便于传唱,易于流传,融思想性、艺术性和时代性于一体。符合歌词创作规律和要求。    四、作品评选    征集活动结束后,县政协将邀请知名词曲作家组成评审委员会,本着公开、公平、公正的原则对所有来稿进行认真评选,并以适当方式听取广大人民群众的意见。评审委员会结合安泽实际,根据入围作品质量以及在媒体公布后的反响等情况进行评定,并将最终评选结果在相关媒体网站公布。    五、投稿须知     1、应征稿件一律采用A4纸打印一式5份,可采取单词、单曲或词曲并投、简谱谱曲的形式投稿。并须注明作者单位、姓名、通讯地址及联系方式。如果有条件的也可直接提供录音作品或小样。     2、歌曲形式、题材、风格不限,独唱、重唱、合唱均可。作品必须原创,不得与任何同类歌词相近或相似,因侵犯任何第三方的著作权或其他任何知识产权及专有权利,而引起的法律后果由作品提交人自行负责。投稿时作者承诺其作品的著作权由安泽县县歌征集评审委员会所有。     3、来稿(含录音作品)一律不退,请作者自留底稿。  来稿地址:安泽县政协办公室(府后街25号)并注明“安泽县县歌”征集字样。    联系人:贺玉静    电  话:0357-8522520    手  机:13546555792     邮  箱:lfazxzx@163.com                                                       政协安泽县委员会                                                      2016年9月20日   http://www.anze.gov.cn/info/news/shows/15426.htm    链接 http://www.zhengjicn.com/zhengji/105783.html   
回复 支持 反对

使用道具 举报

谁用谁知道 发表于 2016-10-26 17:06:49 | 显示全部楼层
老师佳作,学习欣赏!

点评

谢谢丁老师支持!问好!  详情 回复 发表于 2016-10-27 06:21
回复 支持 反对

使用道具 举报

 楼主| 荒原 发表于 2016-10-27 06:21:50 | 显示全部楼层
谁用谁知道 发表于 2016-10-26 17:06
老师佳作,学习欣赏!

谢谢丁老师支持!问好!
回复 支持 反对

使用道具 举报

龙马 发表于 2016-10-27 06:42:11 来自手机 | 显示全部楼层
两首词隽永,凝练。学习支持。

点评

谢谢龙马老师点赞!问好!  详情 回复 发表于 2016-10-27 10:54
回复 支持 反对

使用道具 举报

 楼主| 荒原 发表于 2016-10-27 10:54:12 来自手机 | 显示全部楼层
龙马 发表于 2016-10-27 06:42
两首词隽永,凝练。学习支持。

谢谢龙马老师点赞!问好!
回复 支持 反对

使用道具 举报

于学东 发表于 2016-10-27 13:29:14 | 显示全部楼层
这是一片蓬勃的土地
生态名县全国数一

支持荒原老师新作,曲家合作共赢

点评

谢谢支持!问好于老师!  详情 回复 发表于 2016-10-28 07:33
回复 支持 反对

使用道具 举报

三聪 发表于 2016-10-27 13:53:29 | 显示全部楼层
好精彩的词,祝福你。

点评

谢谢三聪老师!问候!  详情 回复 发表于 2016-10-29 03:46
回复 支持 反对

使用道具 举报

朱志旺 发表于 2016-10-27 14:20:56 | 显示全部楼层
欣赏支持好作品!

点评

谢谢朱老师支持!问好!  详情 回复 发表于 2016-10-29 09:30
回复 支持 反对

使用道具 举报

柏屿 发表于 2016-10-27 15:35:02 | 显示全部楼层
欣赏了荒原老师的佳作
回复 支持 反对

使用道具 举报

 楼主| 荒原 发表于 2016-10-28 07:33:25 来自手机 | 显示全部楼层
于学东 发表于 2016-10-27 13:29
这是一片蓬勃的土地
生态名县全国数一


谢谢支持!问好于老师!
回复 支持 反对

使用道具 举报

 楼主| 荒原 发表于 2016-10-29 03:46:13 | 显示全部楼层
三聪 发表于 2016-10-27 13:53
好精彩的词,祝福你。

谢谢三聪老师!问候!
回复 支持 反对

使用道具 举报

 楼主| 荒原 发表于 2016-10-29 09:30:01 | 显示全部楼层
朱志旺 发表于 2016-10-27 14:20
欣赏支持好作品!

谢谢朱老师支持!问好!
回复 支持 反对

使用道具 举报

柏屿 发表于 2016-10-29 16:53:18 | 显示全部楼层
欣赏了荒原老师的佳作
回复 支持 反对

使用道具 举报

彭城慧星 发表于 2016-10-29 19:12:41 | 显示全部楼层
不愧是闺中才女,加油!

点评

刘老师谬赞,没有建树哦!问好了,说得对,加油再加油!  详情 回复 发表于 2016-10-30 06:32
回复 支持 反对

使用道具 举报

 楼主| 荒原 发表于 2016-10-30 06:32:17 | 显示全部楼层
彭城慧星 发表于 2016-10-29 19:12
不愧是闺中才女,加油!

刘老师谬赞,没有建树哦!问好了,说得对,加油再加油!
回复 支持 反对

使用道具 举报

 楼主| 荒原 发表于 2016-10-31 08:56:36 | 显示全部楼层

谢谢石老师支持!问好!
回复 支持 反对

使用道具 举报

梅传忠 发表于 2016-11-9 08:42:14 来自手机 | 显示全部楼层
学习好友好词!衷心祝福好运!
回复 支持 反对

使用道具 举报

您需要登录后才可以回帖 登录 | 快速注册

本版积分规则

QQ|小黑屋|手机版|作曲网原创音乐论坛社区 ( 鄂ICP备05006521号-2 )

鄂公网安备 42018502000750号

GMT+8, 2026-3-23 13:07 , Processed in 0.202319 second(s), 30 queries .

Powered by Discuz! X3.4

© 2001-2023 Discuz! Team.

快速回复 返回顶部 返回列表