作曲网原创音乐论坛社区

 找回密码
 快速注册

QQ登录

只需一步,快速开始

查看: 1270|回复: 18

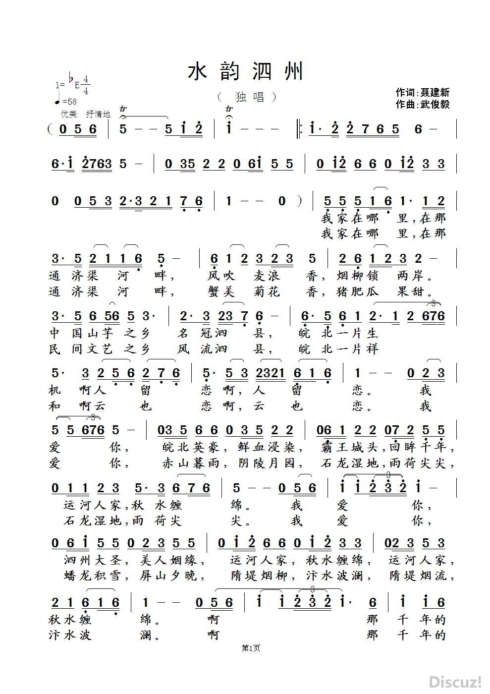
[原创首发] 修改版《水韵泗州》 【 聂建新词 武俊毅曲 】

[复制链接]
武俊毅 发表于 2016-9-1 15:42:46 | 显示全部楼层 |阅读模式
本帖最后由 武俊毅 于 2016-9-9 21:08 编辑

                  

题图.jpg


修改稿:
水韵泗州曲谱1.JPG 水韵泗州曲谱2.JPG
原稿:
水韵泗州曲谱1.JPG 水韵泗州曲谱2.JPG
                  
朱志旺 发表于 2016-9-1 15:45:09 | 显示全部楼层
欣赏支持好作品!

点评

谢谢朱老师到访支持!您是大词家,期待有机会再次合作!  详情 回复 发表于 2016-9-2 08:03
回复 支持 反对

使用道具 举报

 楼主| 武俊毅 发表于 2016-9-2 08:03:26 | 显示全部楼层
朱志旺 发表于 2016-9-1 15:45
欣赏支持好作品!

谢谢朱老师到访支持!您是大词家,期待有机会再次合作!
回复 支持 反对

使用道具 举报

柴欣 发表于 2016-9-3 23:51:28 | 显示全部楼层
本帖最后由 柴欣 于 2016-9-4 00:19 编辑

感谢武老师信任,受邀前来聊几句,仅供参考。

先聊整体结构。全曲分三个乐段,属于各段旋律均不相同的ABC式三段体歌曲,通常,这样结构的歌曲,每段旋律所表现出的情绪是逐步递增的,这种情绪上的变化常常通过每段旋律在节奏、音区以及其它创作手法上表现出来,同时,情绪变化直接影响着每段旋律的创作设计。

AB段之间的变化对比还可以,BC段之间的变化对比不够,我觉得主要在音区上,C段前半段和后半段运用的是变化重复手法,虽然前半段和后半段的开头音区均有所提高,但没有保持下去,2、4句的音区与AB段的主要音区相差无几,所以在音响上让人感觉C段情绪抒发的不够尽兴。

B段刚开始,节奏拉开,然后那几个四个字一组的节奏型让人印象很深,感觉和A段产生了很好的对比。但后半段开始的“我爱你”的旋律与C段开始的“啊”是一样的,提前出现全曲的最高音区(高音的123)会使C段的情绪表现不新鲜了,这个地方的旋律片断是全曲情绪最激情的,应该让C段独自拥有。因为ABC式的三段体歌曲,C段常常是情绪最激动的段落。

A段本来是按起承转合的规律来写作的,但实际上扩充了一句,变成了5句型结构。我想是因为武老师想让段落结束音有一个充分的长度,从而使B段的弱起乐句能够从容的起唱,这样的处理未尝不可,很有必要。

再聊聊细节上的个人看法。全曲在整体旋律上体现了一些那种渔舟唱晚的委婉情调,但A段刚开始,连续的同音反复5,然后一个四度跳进到1,这样的处理,委婉程度稍差,如果象下面这样改,旋律感也许会更好一些:
例1.jpg

A段第一句后半句的歌词“通济渠河畔”,由于“渠”字摆在了第二拍的强位置上,所以听觉上就不是正常的“通济渠  河畔”,而是“通济  渠河畔”,这里我反复唱了几遍,不是什么大毛病,但个人总是感觉不太舒服,如果是我摆字,我会这样:
例2.jpg

B段“我爱你”之后,是四个字一组的、显得有些跳跃的节奏音型,连续用了四次,我的第一感觉是太多了,因为前面的“我爱你”虽然节奏拉开,但旋律时间短,只有一小节多一点,马上连接这样的音型显得有些突兀,如果是我,我会让这种拉开的节奏再保持一会儿,然后再进入这种音型,在原旋律音保持不变的情况下是下面这样的节奏:
例3.jpg
这个地方即使不做任何改动,我觉得”英豪、浸染、城头、千年“这些地方的旋律有强调的语气,所以这四个音型应该是弱起,这样就把”英豪、浸染、城头、千年“这些字摆在了小节1、3拍上。B段后半段的节奏情况如此。前奏的后半部分节奏音型明显来自B段,如果把那个特定的音型改为弱起,前奏倒数第二小节就不会有一拍半的停顿,太长了。

无论是ABC式的三段体歌曲,还是ABA式的三段体歌曲,B段都是起连接、铺垫、辅助、过渡等作用的,所以并不要求它 多么稳定,因此大多数三段体歌曲的B段结束音常常是不稳定音,但本曲三段结束音均为主音1,还同是一个组里的。这也是影响情绪变化的一个因素。



哦,忘了说一点,补充一下:
前面说过,C段前后半段是采用变化重复的创作手法,1、3句的旋律只是结尾稍稍有一点不同,但节奏是完全相同的,看一下这两句的歌词:
啊,那千年的运河,高昂的帆
啊,那广袤的辽阔平原
上一句说了两个对象:运河、帆,下一句仅仅说了一个对象:平原。上一句把千年的运河和高昂的帆分别放在两小节里,听觉上文字节奏很自然,而下一句因为旋律节奏必须与前面那句相同,所以也必须把这句格式不对应的歌词硬生生地摆进两小节里。因此,有了第一句的歌词节奏印象,第二句唱起来就别扭。如果第二句的格式是下面这样就好多了(词意不合适,我只是举例,注意节奏对应):
啊,那千年的运河,高昂的帆
啊,那广袤的平原,辽阔的天


如果第二句设计成其它有别于第一句节奏的旋律,那么歌词不必改,按歌词节奏走就行了,但既然决定用重复法写旋律,那这个地方的歌词节奏就必须对应,否则真不好听。他们麻烦咱们作曲,咱们就得麻烦他们改词,不停滴改,直到咱们满意,旋律也满意!

点评

柴老师好,根据您的宝贵意见,对曲子做了多处修改,请您再听听还有什么不妥?在此向您表示诚挚的感谢和敬意,并欢迎您常来指教!  详情 回复 发表于 2016-9-9 17:37
呵呵,柴老师的修改意见太精辟了!邀您帮我看看曲子,还担心您不一定能光顾呢,没想到您看得如此仔细。您的意见,大到曲式结构和乐段间的对比统一,小到乐句的衔接和调式音的交替,都为我想到了。有的问题我  详情 回复 发表于 2016-9-5 16:07
回复 支持 反对

使用道具 举报

酷酷深蓝 发表于 2016-9-5 13:04:43 | 显示全部楼层
欣赏武老师好作品

点评

谢谢孙老师的欣赏和首肯,向您学习、问好!  详情 回复 发表于 2016-9-6 08:14
回复 支持 反对

使用道具 举报

 楼主| 武俊毅 发表于 2016-9-5 16:07:36 | 显示全部楼层
柴欣 发表于 2016-9-3 23:51
感谢武老师信任,受邀前来聊几句,仅供参考。

先聊整体结构。全曲分三个乐段,属于各段旋律均不相同的AB ...

       呵呵,柴老师的修改意见太精辟了!邀您帮我看看曲子,还担心您不一定能光顾呢,没想到您看得如此仔细。您的意见,大到曲式结构和乐段间的对比统一,小到乐句的衔接和调式音的交替,都为我想到了。有的问题我已经意识到了,也想再改改,这也正是邀您相帮的原因。对您的建议,我基本是照单全收。“皖北英豪,鲜血浸染”那个地方,您将一小节改为两小节,我本来感到结构松散了,与后面的八个字失去了平衡,但您的意见也有道理,我还是考虑按您的意见改。c段的两个大乐句,用了变化重复的方法,但歌词的词格不一样,把它生硬地塞进旋律,唱起来别扭,也不好听。您说的很对,我和词作家聂老师沟通一下,请他将这里做点调整。
    我非常感佩您的专业素养,更为您谦逊诚恳、热情耐心、细致入微和诲人不倦的为人处事精神而感动,的确让我受益匪浅,在这里向您表示深深的谢意!
回复 支持 反对

使用道具 举报

 楼主| 武俊毅 发表于 2016-9-6 08:14:22 | 显示全部楼层
酷酷深蓝 发表于 2016-9-5 13:04
欣赏武老师好作品

谢谢孙老师的欣赏和首肯,向您学习、问好!
回复 支持 反对

使用道具 举报

龙马 发表于 2016-9-7 13:45:33 | 显示全部楼层
两位老师的真挚商榷让人感动。

点评

谢谢庞老师到访欣赏支持,祝好!  详情 回复 发表于 2016-9-10 09:12
回复 支持 反对

使用道具 举报

 楼主| 武俊毅 发表于 2016-9-9 17:32:19 | 显示全部楼层
采纳柴欣老师的建议,对曲子做了多处修改,欢迎朋友鉴赏指教。在这里向柴欣老师宝贵而专业的意见表示诚挚的谢意!
回复 支持 反对

使用道具 举报

 楼主| 武俊毅 发表于 2016-9-9 17:37:36 | 显示全部楼层
本帖最后由 武俊毅 于 2016-9-9 17:39 编辑
柴欣 发表于 2016-9-3 23:51
感谢武老师信任,受邀前来聊几句,仅供参考。

先聊整体结构。全曲分三个乐段,属于各段旋律均不相同的AB ...


柴老师好,根据您的宝贵意见,对曲子做了多处修改,并请聂老师对C段的歌词做了调整,请您再听听还有什么不妥?在此向您表示诚挚的感谢和敬意,并欢迎您常来指教!
回复 支持 反对

使用道具 举报

南风常起 发表于 2016-9-9 17:44:33 | 显示全部楼层
分享武老师新作和柴老师的悉心指点!

点评

谢谢南风老师到访支持,向您学习、问好!  详情 回复 发表于 2016-9-10 21:36
回复 支持 反对

使用道具 举报

陈少杰 发表于 2016-9-9 18:42:28 | 显示全部楼层
欣赏好作品,点赞支持!

点评

少杰兄弟好久不见了啊,谢谢前来捧场支持,问好!  详情 回复 发表于 2016-9-11 08:24
回复 支持 反对

使用道具 举报

 楼主| 武俊毅 发表于 2016-9-10 09:12:03 | 显示全部楼层
龙马 发表于 2016-9-7 13:45
两位老师的真挚商榷让人感动。

谢谢庞老师到访欣赏支持,祝好!
回复 支持 反对

使用道具 举报

 楼主| 武俊毅 发表于 2016-9-10 21:36:40 | 显示全部楼层
南风常起 发表于 2016-9-9 17:44
分享武老师新作和柴老师的悉心指点!

谢谢南风老师到访支持,向您学习、问好!
回复 支持 反对

使用道具 举报

 楼主| 武俊毅 发表于 2016-9-11 08:24:21 | 显示全部楼层
陈少杰 发表于 2016-9-9 18:42
欣赏好作品,点赞支持!

少杰兄弟好久不见了啊,谢谢前来捧场支持,问好!
回复 支持 反对

使用道具 举报

辽宁冷桂萍 发表于 2016-9-11 12:26:50 来自手机 | 显示全部楼层
仙圣真相敬,今人岂互轻?柴武交流语,句句鉴真诚!
回复 支持 反对

使用道具 举报

辽宁冷桂萍 发表于 2016-9-11 12:37:07 来自手机 | 显示全部楼层
千古诗仙诗圣李杜能互敬互学,今人柴武二位老师真诚交流值得点赞学习!艺无止境谦虑好学才有利提高!

点评

谢谢冷老师的到访支持和雅评鼓励!我诚心相邀,柴老师倾心指点,对我来说,的确有幸。但以李杜之交做比,实在不敢当啊!  详情 回复 发表于 2016-9-12 08:34
回复 支持 反对

使用道具 举报

辽宁冷桂萍 发表于 2016-9-11 12:40:06 来自手机 | 显示全部楼层
好词好曲l珠联璧和!很值得欣赏l问好二师l
回复 支持 反对

使用道具 举报

 楼主| 武俊毅 发表于 2016-9-12 08:34:41 | 显示全部楼层
辽宁冷桂萍 发表于 2016-9-11 12:37
千古诗仙诗圣李杜能互敬互学,今人柴武二位老师真诚交流值得点赞学习!艺无止境谦虑好学才有利提高!

谢谢冷老师的到访支持和雅评鼓励!我诚心相邀,柴老师倾心指点,对我来说,的确有幸。但以李杜之交做比,实在不敢当啊!
回复 支持 反对

使用道具 举报

您需要登录后才可以回帖 登录 | 快速注册

本版积分规则

QQ|小黑屋|手机版|作曲网原创音乐论坛社区 ( 鄂ICP备05006521号-2 )

鄂公网安备 42018502000750号

GMT+8, 2026-3-24 00:06 , Processed in 0.288539 second(s), 35 queries .

Powered by Discuz! X3.4

© 2001-2023 Discuz! Team.

快速回复 返回顶部 返回列表